愛知県

1.延べ宿泊者(総数)の推移

時系列グラフ

図1:愛知県内の従業員数100人以上の宿泊施設での延べ宿泊者数(国外、居住地不詳を含む総数)。

基本統計量

表1:従業員数100人以上の宿泊施設での延べ宿泊者の総数(国外、および居住地不詳を含む)に関する基本統計量。単位は人泊。平均は1か月あたりの平均値を表す。図1に対応。
平均 標準偏差 最小値 最大値
2008年 204,844 15,293 180,253 (1月) 233,871 (8月)
2009年 179,654 13,451 156,083 (2月) 199,401 (3月)
2010年 179,061 14,934 166,144 (11月) 209,218 (8月)
2011年 159,368 26,413 125,503 (4月) 196,421 (8月)
2012年 159,392 13,486 144,850 (6月) 186,134 (8月)
2013年 173,775 20,358 139,910 (2月) 221,808 (8月)
2014年 182,858 18,763 150,385 (2月) 218,593 (8月)
2015年 178,901 16,454 155,164 (9月) 205,273 (4月)
2016年 143,791 16,590 115,606 (4月) 176,345 (8月)
2017年 154,005 23,485 114,990 (6月) 202,884 (8月)
2018年 137,679 17,139 111,573 (1月) 168,439 (7月)
2019年 133,955 17,721 109,143 (10月) 166,299 (8月)
2020年 75,545 37,954 17,711 (5月) 150,417 (1月)
2021年 67,718 27,324 36,257 (1月) 124,826 (12月)
2022年 93,093 27,313 53,248 (2月) 145,232 (11月)
2023年 94,090 18,271 55,144 (10月) 118,051 (12月)
2024年 138,774 25,635 89,447 (1月) 195,310 (8月)
2025年 156,230 20,363 132,143 (6月) 211,800 (8月)

2.宿泊者数の重心(年平均の推移)

図2:愛知県内の従業員数100人以上の宿泊施設での延べ宿泊者数(国外、居住地不詳を除く)の重心(年平均の推移)。

全画面表示

重心の前年平均からの移動距離と方位、および緯度・経度

表2:重心の前年平均からの移動距離と方位、および緯度・経度。図2に対応。
方位 距離 緯度 経度
2008年 35.3824 137.5461
2009年 西南西 4.0km 35.3662 137.5069
2010年 東北東 2.5km 35.3716 137.5334
2011年 0.2km 35.3697 137.5333
2012年 東北東 7.8km 35.4076 137.6056
2013年 北西 2.8km 35.4249 137.5826
2014年 南西 1.2km 35.4169 137.5742
2015年 南南西 3.3km 35.3906 137.5583
2016年 北北東 2.8km 35.4136 137.5714
2017年 西南西 2.1km 35.4073 137.5495
2018年 西南西 6.3km 35.3825 137.4875
2019年 東北東 6.0km 35.4078 137.5453
2020年 南西 11.3km 35.3450 137.4478
2021年 南西 3.1km 35.3215 137.4286
2022年 西 8.4km 35.3273 137.3368
2023年 東北東 16.1km 35.3750 137.5042
2024年 南東 1.3km 35.3682 137.5158
2025年 南南西 5.4km 35.3270 137.4846

運輸局別延べ宿泊者数

時系列(年平均)

図3:愛知県内の従業員数100人以上の宿泊施設での1か月あたり平均延べ宿泊者数(国外、居住地不詳を除く)の運輸局別内訳。

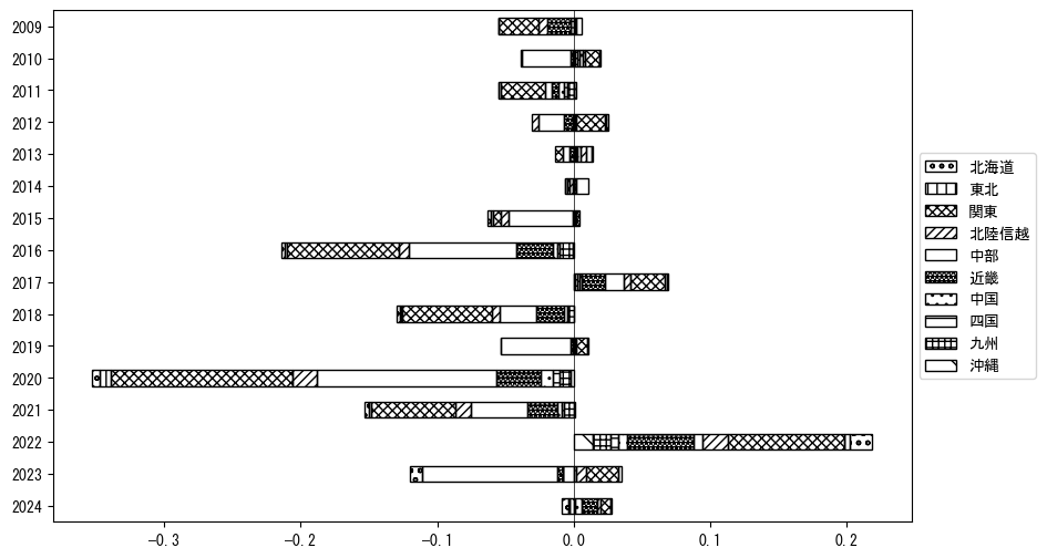
寄与度(前年からの変化率に対する)

図4:愛知県内の従業員数100人以上の宿泊施設での運輸局別延べ宿泊者数(国外、居住地不詳を除く)から求めた寄与度。

3.宿泊者数の重心(月別)

図5:愛知県内の従業員数100人以上の宿泊施設での延べ宿泊者数(国外、居住地不詳を除く)の重心(月別)。観測期間は2008年1月から2025年12月まで。

全画面表示

全期間(2008年1月~2025年12月)の平均と月別平均の比較

表3:全期間の平均から月別平均までの移動距離と方位、および緯度・経度。図5に対応。
方位 距離 緯度 経度
全期間 35.3781 137.5173
1月 3.8km 35.3722 137.5580
2月 南東 1.6km 35.3673 137.5295
3月 北北東 4.9km 35.4192 137.5376
4月 西北西 1.0km 35.3803 137.5072
5月 0.8km 35.3857 137.5179
6月 北東 1.2km 35.3870 137.5246
7月 南南西 1.6km 35.3641 137.5128
8月 南南西 5.2km 35.3374 137.4882
9月 北西 1.7km 35.3874 137.5028
10月 北北東 2.8km 35.4019 137.5286
11月 北東 5.7km 35.4163 137.5585
12月 南西 9.6km 35.3180 137.4419

運輸局別延べ宿泊者数

月別平均(2008年1月~2025年12月)

図6:愛知県内の従業員数100人以上の宿泊施設での延べ宿泊者数(国外、居住地不詳を除く)の運輸局別内訳(月別)。

寄与度(全期間の平均から月別平均への変化率に対する)

図7:愛知県内の従業員数100人以上の宿泊施設での運輸局別延べ宿泊者数(国外、居住地不詳を除く)から求めた寄与度(月別)。

4.データのダウンロード

出典:観光庁「宿泊旅行統計調査」に収録された「施設所在地、居住地別延べ宿泊者数(従業員数100人以上の施設)」

国土地理院「白地図(地理院タイル)」(図2と図5)